ព័ត៌មានជាតិ

បេក្ខជន វ័ន្ត ចាន់រ៉ូ ទទួលបានលទ្ធផលល្អជាប់និន្ទេស C ទោះបីមានបញ្ហាភ្នែកធ្ងន់ធ្ងរពិបាកក្នុងការមើលក៏ដោយ

BY
Khmernote Media
November 24, 2023

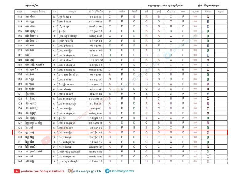
ខេត្តកំពង់ឆ្នាំង៖ នៅចាំបានទេ បេក្ខជនឈ្មោះ វ័ន្ត ចាន់រ៉ូ ដែលមានបញ្ហាភ្នែកធ្ងន់ធ្ងរ ប៉ុន្តែខិតខំសម្លឹងបំពេញសន្លឹកកិច្ចការរបស់ខ្លួនដោយការព្យាយាមបំផុតនោះ ពេលនេះបានដឹងលទ្ធផលហើយ ដោយប្អូនប្រុសទទួលបាននិន្ទេស C ប្រឡងជាប់ដោយជោគជ័យ។

សូមជម្រាបជូនថា បេក្ខជន វ័ន្ត ចាន់រ៉ូ ជាសិស្សមកពីភូមិដំណាក់អំពិល ឃុំក្តុលសែនជ័យ ស្រុកទឹកផុស ខេត្តកំពងឆ្នាំង ដោយប្អូនប្រុសទទួលបាននិន្ទេស C ក្នុងការប្រឡងសញ្ញាបត្រមធ្យមសិក្សាទុតិយភូមិសម័យប្រឡង៖ ៦ វិច្ឆិកា ឆ្នាំ២០២៣កាលពីកន្លងទៅ នៅមណ្ឌលបឋមសិក្សាខ្សាមមា្សច័ន្ទលា នៅបន្ទប់លេខ៦ លេខតុ១៣៩។ ទោះបីជាបេក្ខជនរូបនេះ មានបញ្ហាពិការភ្នែកធ្ងន់ធ្ងរ ប៉ុន្តែប្អូនខិតខំសម្លឹង នឹងបំពេញនូវសន្លឹកកិច្ចការរបស់ខ្លួន បើទោះជាពិបាកក្នុងការមើលក៏ដោយ។ សូមបញ្ជាក់៖ បេក្ខជនរូបនេះ ធ្វើការអោនដាក់ភ្នែកដល់សន្លឹកកិច្ចការទើបអាចមើលឃើញបាន ៕

Share This Post: